一、產品介紹 我公司研發的5%聯苯菊酯水乳劑用大量的去離子水代替了有機溶劑,在形成均勻水相后,然后再在水相中加入均勻油相,形成均相乳狀液。加工工藝采用高速剪切方法使初生乳狀液中較大的分散相液滴在高剪切力的作用下破裂成一系列小得多的液滴,有效增強了產品的穩定性。本產品性能優異,生物活性比較高,藥效也比較持久,是土壤和木材防治白蟻理想的專用藥物。
0.5公斤/瓶
1公斤/瓶
10公斤/桶
20公斤/桶
二、包裝規格
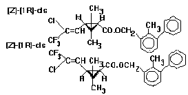
三、特點 1、大量的去離子水代替了有機溶劑; 2、高速剪切方法有效增強了產品的穩定性; 3、避免有機溶劑在貯存過程中易燃的危險; 4、同樣也可以避免乳油性藥物和可濕性粉劑因有機溶劑和粉對操作者的毒害以及對環境的污染; 5、性能優異,生物活性比較高,藥效比較持久,是土壤和木材防治白蟻理想的專用藥物。 四、理化性質 1、產品外觀:白色穩定乳狀液,久置后允許有少量分層,輕微搖動或攪動應是均勻的。 2、化學名稱:(1R,S)-順式(Z)2,2-二甲基-3-(2-氯-3,3,3-三氟-1-丙烯基)環丙烷羧酸-2- 甲基-3-苯基芐酯 3、分子式:C23H22ClF3O2 4、結構式: 5、相對分子量:422.9 6、毒性:中等毒 7、穩定性:對光穩定,在酸性介質中也較穩定,在常溫下貯存一年仍較穩定,但在堿性介質中會分解。 8、儲存:室溫下通風陰涼處避光保存 五、使用方法
作物或范圍
防治對象
制劑用藥量
使用方法
土壤
白蟻
50-75克/平方米
噴灑
木材
250-625毫克/千克
浸泡
返回首頁 | 公司簡介 | 發展歷程 | 產品介紹 | 新聞中心 | 聯系我們 | 客戶留言
Copyright ? 2020 蘇州市江楓白蟻防治有限公司 All Rights Reserved. 蘇ICP備2020070828號-1